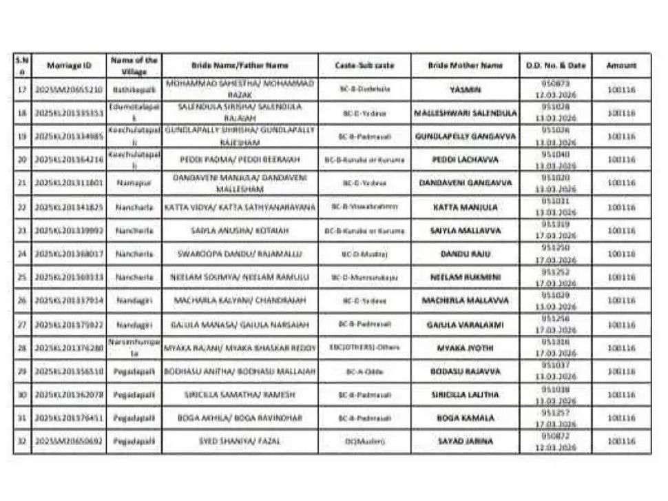
JGL: పెగడపల్లి మండలంలోని వివిధ గ్రామాలకు చెందిన కళ్యాణ లక్ష్మి లబ్ధిదారులకు సోమవారం కళ్యాణ లక్ష్మి చెక్కులు పంపిణీ చేయనున్నట్లు తహశీల్దార్ ఆనంద్ కుమార్ ఓ ప్రకటనలో తెలిపారు. మండలంలోని వివిధ గ్రామాలకు చెందిన 42 మంది కళ్యాణ లక్ష్మి లబ్ధిదారులకు మంజూరైన దాదాపు రూ. 42 లక్షల విలువగల చెక్కులను అందజేయనున్నట్లు పేర్కొన్నారు.